카이제곱 검정(Chi-Squared Test)
카이제곱검정은 주로 범주형인 자료를 분석하는데 활용된다.
범주형 자료 분석은 크게 적합도 검정(goodness of fit test), 독립성 검정(test of independence)으로 나누어진다.
| 검정방법 종류 | 설명 |
| 적합도 검정(goodness of fit test) | 하나의 범주형 변수에 대해 관측 값들이 어떤 분포를 띄는지 검정 |
| 독립성 검정(independence test) | 서로 다른 두 범주형 변수 간에 연관성이 있는지를 검정 |
적합성 검정(goodness of fit)
각 범주마다 수행해야 한다.
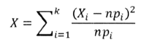
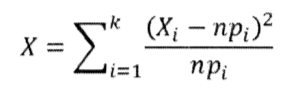
검정 통계량

각 범주별 빈도와 기대빈도의 차이의 크기를 이용한다
* 파이썬의 경우 scipy.stats.chisquare 함수에 관측치와 예측치를 입력하여 구할 수 있다.
가설
- 귀무가설 H0 : 각 범주별로 주어진 확률이 사실이다.
- 대립가설 H1 : 각 범주별로 주어진 확률 중 하나 이상은 사실이 아니다.
독립성 검정(Test of independence)
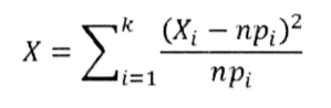
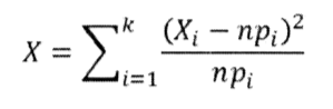
검정 통계량

각 범주별 빈도와 기대빈도의 차이의 크기를 이용한다.
가설
귀무가설 H0 : 두 범주형 변수는 서로 독립이다(연관성이 없다)
대립가설 H1 : 두 범주형 변수는 독립적인 관계가 아니다(연관성이 있다)
python에서는 scipy.stats.chi2_contingency를 사용하여 각 발생값의 contingency table(confusion matrix)를 입력으로 하여 구할 수 있다.
동질성 검정
절차는 독립성 검정과 동일하다. (그럼 왜 두 개를 따로 설명해 둔 거지??)
가설
귀무가설 H0 : 각범주별 비율은 같다.
대립가설 H1 : 각 범주별 비율은 같지 않다.
'ML | DL | Big data > Data Science' 카테고리의 다른 글
| 상관계수 검정 - Pearson, Spearman, Kendall (0) | 2023.03.08 |
|---|---|
| 단순/다중 선형회귀 모형 - 유의성 검정 / 적합도 측정 (1) | 2023.03.06 |
| 비모수 검정 - Wilcoxon rank-sum(Mann-Whitney U) / Wilcoxon Signed rank test (0) | 2023.03.02 |
| 분산 분석 - Analysis of Variance(ANOVA) (0) | 2023.03.02 |
| 정규성 검정 및 변환 (0) | 2023.02.28 |
| 표본/분산 차이에 대한 가설 검정 방법 (0) | 2023.02.28 |
댓글