평균/분산 차이에 대한 검정
| 검정 대상 | 검정 방법 | 검정/변환식 | Python 라이브러리 | 비고 |
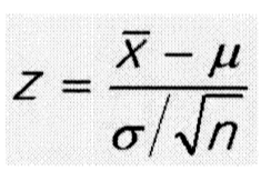
| 모평균 <-> 표본평균 | z-검정 | ![]() |
scipy.stats.norm.cdf scipy.stats.norm.ppf |
모 표준편차를 알아야 함 |
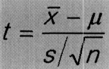
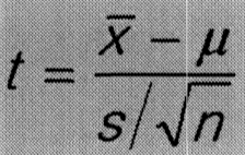
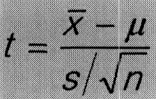
| t-검정 | ![]() |
scipy.stats.t.cdf scipy.stats.t.ppf scipy.stats.ttest_1samp |
모 표준편차를 몰라도 됨 | |
| 모비율<->표본비율 | 확률에 대한 z-검정 | scipy.stats.norm.cdf scipy.stats.norm.ppf statsmodel.stats.api.proportions_ztest |
표본 확률이 근사적 정규분포를 따른다. p : 평균 p(1-p)/n : 분산 |
|
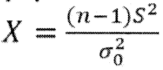
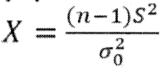
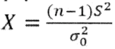
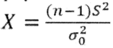
| 모분산<->표본분산 | 카이제곱 | ![]() |
scipy.stats.chi2.cdf scipy.stats.chi2.ppf |
분포가 정규분포를 따라야함 |
| 표본평균<->표본평균 | 표본평균 차의 t/z-분포 | ![]() ![]() |
scipy.stats.t.cdf scipy.stats.t.ppf scipy.stats.ttest_ind(equal_var=True) |
A/B 테스트에서 사용 모분산이 동일한 경우(등분산) 분산을 모르면 t분포 사용 |
| 표본평균 차의 t/z-분포 | scipy.stats.t.cdf scipy.stats.t.ppf scipy.stats.ttest_ind(equal_var=False) |
A/B 테스트에서 사용 모분산이 다른경우 경우(이분산) 분산을 모르면 t분포 사용 |
* 검정 대상간에 차이가 있는가에 대한 검정임.
'ML | DL | Big data > Data Science' 카테고리의 다른 글
| 범주형 자료 검정 - Chi-Squared Test (0) | 2023.03.02 |
|---|---|
| 분산 분석 - Analysis of Variance(ANOVA) (0) | 2023.03.02 |
| 정규성 검정 및 변환 (0) | 2023.02.28 |
| 통계적 가설 검정 방법 (0) | 2023.02.28 |
| 빅데이터 개요 (0) | 2023.02.28 |
| 불균형 클래스 분류(Imbalanced Classification)를 위한 4가지 방법 (2) | 2020.09.04 |







댓글